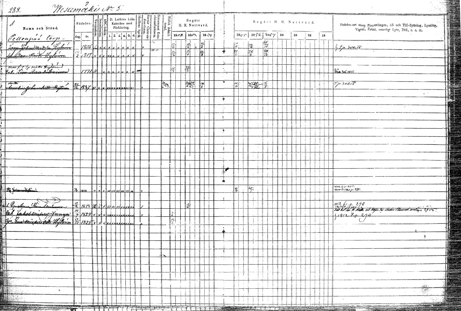
Rautalampi , Rippikirja, 1852-1861 TK1097 Kuva 333 Edellinen Seuraava

[ kuvat/333.jpg ]