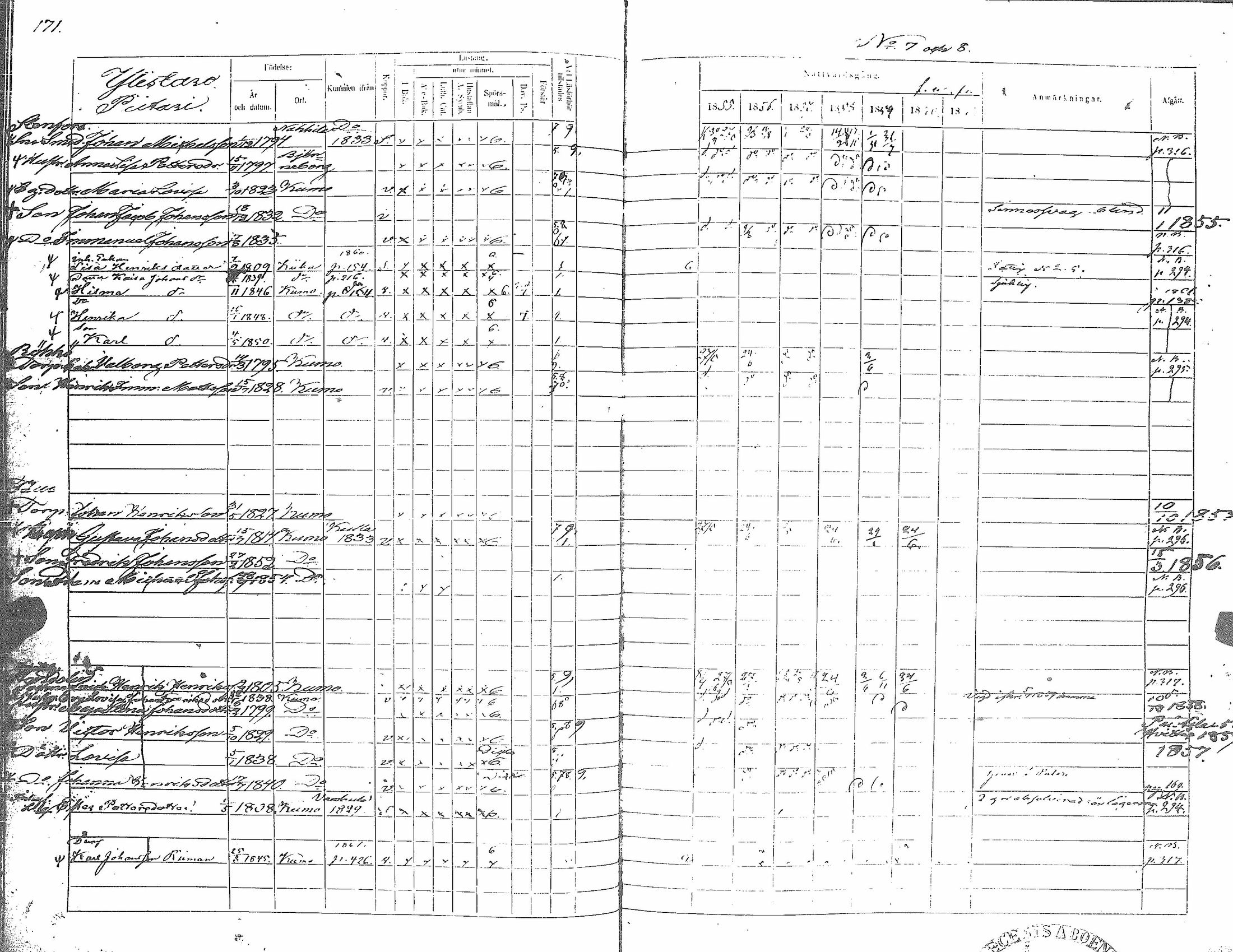
Kokemäki , Rippikirja, 1855-1861 JK541-542 Kuva 184 Edellinen Seuraava

[ kuvat/184.jpg ]